1.はじめに
“物質は何からできているか?”という問いかけは人類が古くから自然に対して持ち続けてきた根源的な疑問に基づくものである.今世紀に入ってから物質の構造と物質を構成するミクロ物質についての知見が飛躍的に深まった.それには物理概念や自然認識の方法が従来の古典的なそれらとは質的に異なったものが必要とされた.このような物質観の進展は,たとえば,定常宇宙から膨張宇宙への宇宙観の転換とあいまって,物質的宇宙のはじまりや進化の過程の統一的な理解にも大きく寄与しつつある.学校教育においても,物質認識の新しい内容は高等学校物理の教科書で少しずつ触れられるようにはなってきたようであるが,やはり,実験や実習を伴った授業としては一般的には行われていないのが現実である.ここでは,ミクロ物質である原子核の大きさを簡単に測ることを中心に,物質の生成消滅,エネルギー概念の拡張,電荷の保存則など,現在の物質観に関わる基本的な法則や概念について,実在感をともなった学習の例として,泡箱写真の観察を通して学ぶ方法を例示する.
2.泡箱写真の概略
泡箱(bubble chamber)は1952年にグレーザー(D.Glaser)によって発明された.これは過熱状態にある液体に荷電粒子を通過させるとその通路に沿って沸騰が始まり,生じた泡の連なりによる軌跡を得るものである.これを写真に撮ることによって物質中の荷電粒子の様子を解析することが出来る.この装置によりミクロ物質のレベルにおける多くの新粒子が発見され,それらに働く相互作用について深い理解が得られることになった.しかし,この装置が第一線の研究に供されたのは1980年ころまでであり,その後はより大がかりなコンピュータオンラインの測定装置にとって代わられている.しかし,ミクロレベルで繰り広げられる多種多様な現象が視覚的に観察できるという意味で,泡箱写真は教育的であり,良い教材となり得る.国内外の高エネルギー物理学分野の研究機関や大学ではこうしたご用済みの写真フィルムを保有している所が多いはずである.図1に実用的な泡箱の概念図を示す.

一例として米国立ブルックヘブン加速器研究所で保有した80インチの液体水素泡箱に12.6GeVのK-中間子ビームを入射して得られた写真フィルムを用いた.これには垂直に17Kガウス程度の磁場がかけられていて荷電粒子はその運動量の大きさに応じて曲げられるようになっている.1)
2)
3.ミクロ物質の大きさを測る
可視光の波長より小さい物の大きさは,たとえ光学顕微鏡を使ったとしても目で見て測ることはできない.このようなミクロな物の大きさは確率的な方法で測られるのが常套である.以下に標的粒子の大きさを知るためにその断面積σを測る方法を示す.図2のように断面積が1cm2,微小長さがdxの体積の物質を考える.

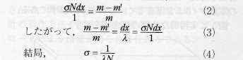
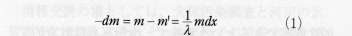
この物質には1cm3中にN(=アボガドロ数×密度/原子量)の標的となるミクロ物質が含まれるとする.これにmヶの粒子を入射させ,dx進む間にその一部は標的と相互作用し,残りm'ヶが素通りしていくとしよう.ここで,標的との相互作用の平均自由行程をλとすると,相互作用した数dmは
ミクロ物質の断面積σcm2の総計と1cm2との比は相互作用した部分m-m'とmの比に等しいので

実験的に断面積σを求めるには平均自由行程λを測ればよい.
ここでは70mmの泡箱写真フィルムを,乾式複写機で190%程度に拡大コピーしたものを用いた.各写真上での有効長さ(フィディーシャルボリウムPcm)を決めて,その範囲でm,m'および相互作用(現象)の数を数えて足し上げていく.入射粒子の本数mをn枚にわたって足し上げたもの
![]()
生き残り(素通り)の粒子の本数m'を足し上げたもの
![]()
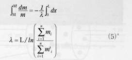
とする. 平均自由行程はこのMと M'とを数え上げ,以下によって勘定した.

ただし,Lは有効長さPの実長である.右辺2項目の1/2は平均自由行程の数えすぎに対する近似的な補正である.
また,定積分の意味を理解していれば,(1)式をmについてMからM’,xについて0からLまで定積分して,

以上の方法による測定例とその結果を表1に示す. ここでは,統計精度を考慮して50枚の泡箱写真について測定した.写真1はそのうちの一枚である.
k-中間子と水素原子核(K-P)衝突の全散乱断面積は現在の国際的な標準データ3)に示されるように,12.6GeVの時,σ=2.2×10-26cm2(=22mb)となっていて我々の結果と良く合っていることがわかる.

4.いろいろな現象の観察
(1)入射粒子と標的核との相互作用
入射粒子の軌跡が途中で目で認められるほど曲げられ,散乱されている場合は,その場所で標的原子核との強い相互作用による核反応が生じている.ここでは,K-中間子と陽子との反応である(図3).

ただし,入射粒子がまっすぐに進んでいるようなときでも,途中に比較的に短い,黒くて太い軌跡を伴っている場合がある.この黒い軌跡は液体水素中の原子核(陽子)が入射粒子(K-中間子)により反跳を受けたものでこれも強い相互作用による核反応である(図4).

このような相互作用で,反応した後から出る粒子('子'粒子)軌跡の総数(すなわち,反応前の入射粒子−'親'粒子−の軌跡は除く)は,例外なく逆の曲がり方をするものが同数ずつ,あわせて偶数であることが観測される.
入射粒子と標的核との反応で,4本以上の'子'粒子のあるものについては2本以上は新しく創生された荷電素粒子である.物質の創生は消滅とともにミクロ物質の,とりわけ原子核・素粒子以下のレベルで特徴的な現象であり,量子論の不確定性関係や特殊相対論のエネルギー概念の拡張からも根拠づけられる.このような創られた荷電素粒子のなかで,写真に軌跡として残る程の寿命をもつものは,ほぼ正か負の素電荷を持つ.ここでは,反応前の親粒子の電荷の合計は素電荷を単位にして,K−中間子は−1,標的の陽子は+1であるので0となる.したがって,子粒子が正負の素電荷を持つものが同数ずつ,合わせて偶数となるのはこのレベルでさえ,電荷の保存が守られていることを示している.
(2)物質からの電子の観察
(1)とは別に,荷電粒子の飛跡に伴って,うすく(泡密度の小さい)ではあるが大小の螺旋状の飛跡がよく見られる.どれも曲げられ方は(右向きか左向きか)同じ向きである.これは水素原子がもつ軌道電子が電離をして飛び出してきたものであるとされている.
Kー + e− → Kー + e−
また,なにもないところでもこのような螺旋がみられることもある.それが,電磁波γ(ガンマ線)が物質中の電子をはじき飛ばすコンプトン散乱である.これは光の粒子性を説明するための重要な例の一つとして高校物理の教科書にも取り上げられているものである.
γ + e− → γ + e−
これらは電磁的相互作用によって引き起こされる.
(3)物質の対創生
まれに,(1)の反応点の近くで松葉の形をした飛跡が見られることがある.このうちでそれらの飛跡がやがて螺旋を描くとき,それはγ線による電子・陽電子の対創生であることを示している.このうち,陽電子は電子に対する反物質と言われる.反物質は“あの世の物で,ふつうには観測できない”かのようによく誤解されるが,物質である電子とまったく同じように見える.ただ正電荷を持ち電子とは逆方向に曲げられるだけである.事実,陽電子は電荷の符号が反対のほかは,質量やスピン量子数などのすべての量が同じであることが確かめられている.
γ → e− + e+
この反応も電磁的相互作用によるものである.ただし,エネルギーと運動量が保存されるという条件のために真空中では起こりえず,このような物質中の電場のなかで見られる.
(4)物質の崩壊
(1)の反応によって創り出される粒子はほとんどは中間子族である.これらは一億分の一秒程度の短い寿命を持つために,弱い相互作用によるベータ崩壊が見られることがある.見かけ上は飛跡が折れ曲がって見える.

ただし,π,μ,νμ ,νeはそれぞれ,パイ中間子,ミューオン,ミューニュートリノ,エレクトロンニュートリノである.
5.おわりに
ここでは,第一線の研究としては役目を終えた資料の,教材への活用の一例として泡箱写真の観察を取り上げた.このような写真を観察するためには本来,専用の投影機を用いるべきであるが上に示したことを行うには事務用の複写機による拡大コピーでも十分であることがわかった.写真によっては,飛跡が重なって見づらい場合がある.泡箱写真は飛跡を3次元に再構成するために,同じ場面を3方向の違った角度から撮影しているので同じ場面の違った方向からの写真を見なおせばよい.
そのなかで,現行の物理教科書で単に記述のみで終わっている20世紀の物理が生徒の作業を通して実際に観察することができることを示した.科学の自然認識が大きく進むなかで,原子核・素粒子よりさらに深いレベルの基本物質であるクォークの存在が確かになり,基本的な物質像が明らかになるにつれて宇宙の始まりや進化が科学の俎上にのぼるようになった.このような状況の中で他の領域も含めて先端的な研究機関との交流を通して理科教材への活用の道を検討してもよいのではないだろうか.
本稿は平成8年度文部省実験観察指導力向上講座のテキストに手を加えて書いたものである.
参考文献
1)M.Teranaka et.al.:Proceedings of Joint Japanese-U.S. Seminar on Elementary
Particle Physics with bubble Chamber Detectors at SLAC(1971)
2)H.OKABE: Multiple Pion Production Associated with H in the 12.6 GeV/c
K-P Reaction, IL NUOVO CIMENTO Vol.28A, 75(1975)
3)Particle Data Group: REVIEW OF PARTICLE PHYSICS, PHYSICAL REVIEW D,
VOL.54 Part 1 ,196(1996)
